Here are the best study resources to pass Mathematics. Find Mathematics study guides, notes, assignments, and much more.
Mathematics > EXAM REVIEW > mathematics review statistics with answers (All)
Mathematics > EXAM REVIEW > MATHS 774 Chapter 2: Bond Market Basics (All)
Mathematics > EXAM REVIEW > Math 225n Statistics Quiz Week 4 (All)
Mathematics > EXAM REVIEW > 17_1-3-4 Homework Week 6 with correct answers (All)
Mathematics > EXAM REVIEW > 1- Test 2 - Chapter 15 maths questions with correct answers (All)
Mathematics > EXAM REVIEW > MATH 114 Test 1 Liberty University answers (All)
Mathematics > EXAM REVIEW > MATH 114 MATH 114 Homework 2 Liberty University answers (All)
Mathematics > EXAM REVIEW > MATH-221 Homework Week 1 Statistics for Decision-Making. (All)
Mathematics > EXAM REVIEW > MATH-221 Homework Week 2 Statistics for Decision-Making. (All)
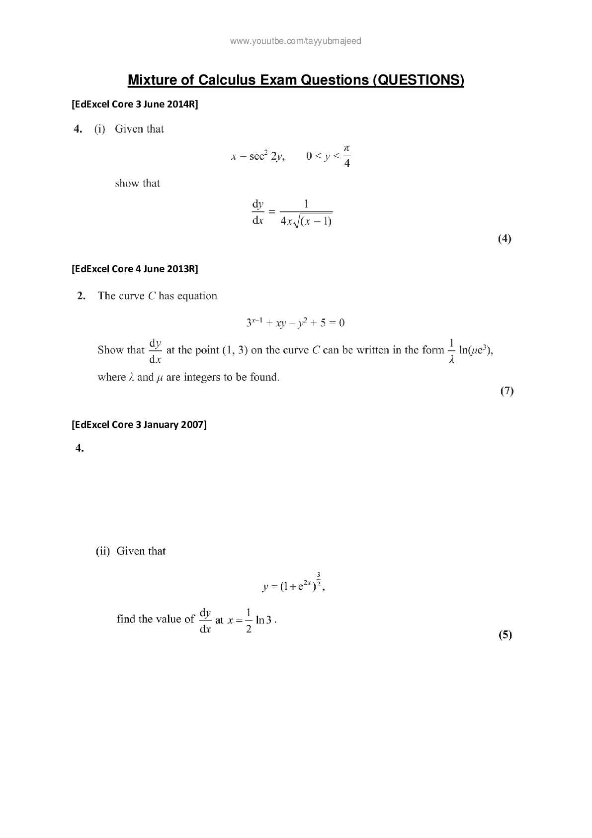
Mathematics > EXAM REVIEW > A mixture of Calculus Exam Questions (El, AQA, OCR, OCR-MEI, Consisting of Questions and marking Answers and methods on working out the Questions in the last pages. Download, Revise, and score A.) (All)
Mathematics > EXAM REVIEW > AQA 7356 AS June 2019 Paper 1 Pure and mathematics QUESTIONS Frequently tested and GRADED A+ (All)
Scholarfriends.com Online Platform by Browsegrades Inc. 651N South Broad St, Middletown DE. United States.
We're available through e-mail, Twitter, Facebook, and live chat.
FAQ
Questions? Leave a message!
Copyright © Scholarfriends · High quality services·