Here are the best study resources to pass Statistics. Find Statistics study guides, notes, assignments, and much more.
Statistics > QUESTIONS & ANSWERS > STAT 500 Homework 3 Answers (Penn State University) (All)
Statistics > QUESTIONS & ANSWERS > STAT 500 Homework 2 Solution (Penn State University) (All)
Statistics > QUESTIONS & ANSWERS > STAT 500 Homework 1 Solution (Penn State University) (All)
Statistics > EXAM > Sophia Statistics Final Milestone (already passed) Summer 2020/2021. (All)
Statistics > STUDY GUIDE > STAT 200 Week 3 Homework Problems Question And Answers. (All)
Statistics > STUDY GUIDE > STAT200/STAT 200 Week 4 Homework Problems (summer 2020) complete solutions Rated A. (All)
Statistics > STUDY GUIDE > STAT 200 Week 6 Homework Problems, full solution guide, Question And Answers 100% correct. (All)
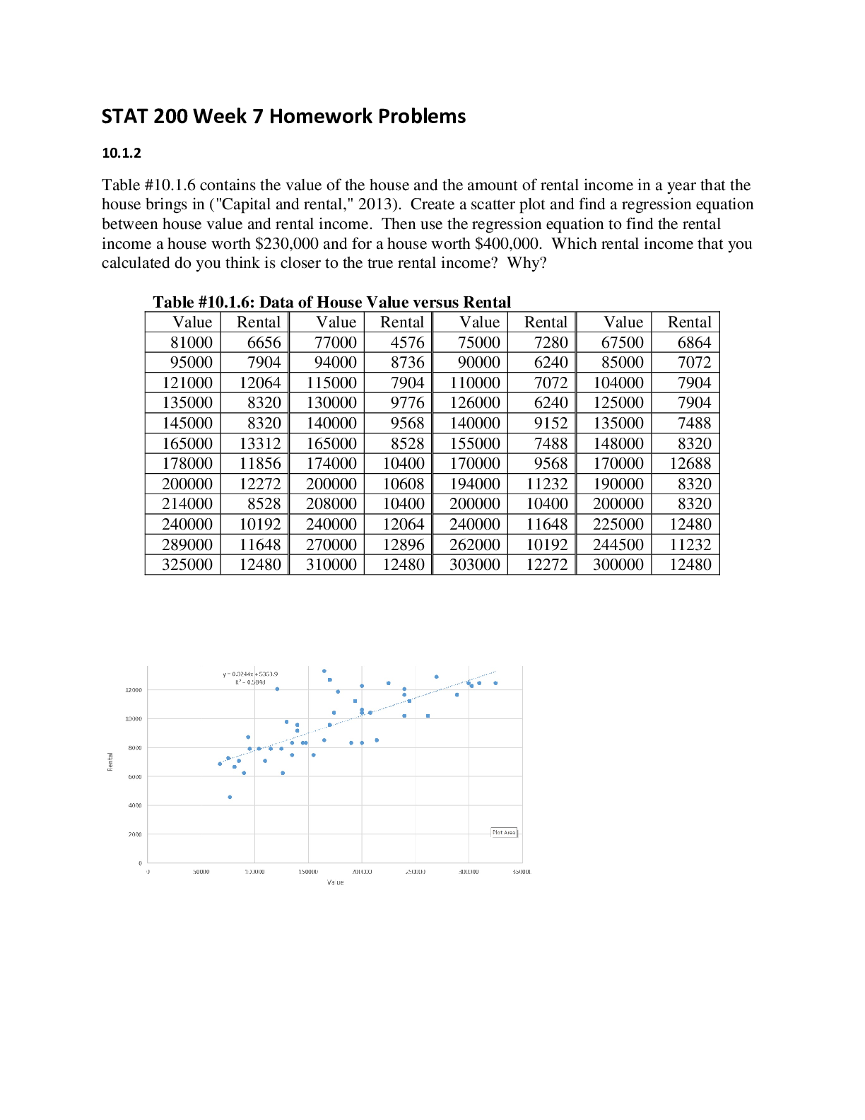
Statistics > EXAM > STAT 200 Week 7 Homework Problems (1)|University Of Maryland (All)
Statistics > EXAM > STAT 200 Week 7 Homework Problems/STAT 200 Week 7 Homework Problems Latest VERIFIED Solution (All)
Statistics > EXAM > STAT 200 Week 6 Homework Problems Complete Guide 100% Correct (All)
Statistics > EXAM > STAT 200 Week 5 Homework Problems |Latest Guide 100% ALL CORRECT (All)
Statistics > EXAM > STAT 200 Week 5 Homework Problems~Denize Shy (All)
Statistics > EXAM > STAT 200 Week 4 Homework Problems Complete Guide 100% CORRECT (All)
Statistics > EXAM > STAT 200 Week 2 Homework |Latest Questions And Answers {Complete Guide} (All)
Statistics > EXAM > University of Maryland, University College - STAT 200 3150; Student's Answer Sheet STAT200_Fall_2019. (All)
Statistics > EXAM > STATS 200 Sophia Introduction to Statistics Milestone 1_ (2020),100% CORRECT (All)
Statistics > QUESTIONS & ANSWERS > MATH 225N Week 6 Confidence Intervals Questions and answers.(All Answers Correct)100% (All)
Statistics > EXAM > Statistics Milestone 1: Answers Include Rationale and the Concept (All)
Statistics > QUESTIONS & ANSWERS > Straighterline - MAT 202Quiz 14 RANDOM VARIABLES CHECKPOINT 3. All Answers 100%. (All)
Scholarfriends.com Online Platform by Browsegrades Inc. 651N South Broad St, Middletown DE. United States.
We're available through e-mail, Twitter, and live chat.
FAQ
Questions? Leave a message!
Copyright © Scholarfriends · High quality services·